Bufotoxin
Structural Formula Vector Image
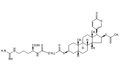
Title: Bufotoxin
CAS Registry Number: 464-81-3
CAS Name: [3b(S),5b,16b]-16-(Acetyloxy)-3-[[8-[[4-[(aminoiminomethyl)amino]-1-carboxybutyl]amino]-1,8-dioxooctyl]oxy]-14-hydroxybufa-20,22-dienolide
Additional Names: vulgarobufotoxin; bufotalin 3-suberoylarginine ester
Molecular Formula: C40H60N4O10
Molecular Weight: 756.93
Percent Composition: C 63.47%, H 7.99%, N 7.40%, O 21.14%
Literature References: Principal toxin of the venom of the common European toad, Bufo vulgaris. Isoln and structure: Wieland, Alles, Ber. 55, 1789 (1922); Wieland et al., Ann. 524, 203 (1936); Meyer, Helv. Chim. Acta 32, 1993 (1949); Urscheler et al., ibid. 38, 883 (1955). Alternate structure: Kamano et al., Tetrahedron Lett. 1968, 5673; Linde-Tempel, Helv. Chim. Acta 53, 2188 (1970). Partial synthesis: Pettit, Kamano, Chem. Commun. 1972, 45.
Properties: Monohydrate, bitter needles from alc, dec 205°. uv max: 295 nm (log e 3.74). Freely sol in methanol, pyridine, sparingly sol in abs alc. Practically insol in water, ether, acetone, chloroform, petr ether.
Absorption maximum: uv max: 295 nm (log e 3.74)

Other Monographs:
Phosphonium IodideHexacyclonate SodiumNorlevorphanolFerric and Ammonium Acetate Solution
AnthralinMexacarbateDonovan's SolutionPentagastrin
ImazapyrMethadyl AcetateCortoloneSomatoliberin
Uranyl SulfateSulprostoneBenzyl SalicylateEburnamonine
©2006-2023 DrugFuture->Chemical Index Database