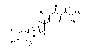
Brassinolide
Structural Formula Vector Image
Title: Brassinolide
CAS Registry Number: 72962-43-7
CAS Name: (2a,3a,5a,22R,23R,24S)-2,3,22,23-Tetrahydroxy-B-homo-7-oxaergostan-6-one
Additional Names: 2a,3a,22,23-tetrahydroxy-24-methyl-B-homo-7-oxa-5a-cholestan-6-one
Molecular Formula: C28H48O6
Molecular Weight: 480.68
Percent Composition: C 69.96%, H 10.07%, O 19.97%
Literature References: Plant hormone; natural steroid containing a seven-membered B-ring lactone, that promotes both cell elongation and cell division. Over ten brassinosteroids have been isolated and characterized from sources such as pollen, seedling, leaf. Isoln, structure and activity of brassinolide from rape pollen, Brassica napus L.: M. D. Grove et al., Nature 281, 216 (1979). Stereoselective synthesis: S. Fung, J. B. Siddall, J. Am. Chem. Soc. 102, 6580 (1980). Synthesis of two stereoisomers: M. J. Thompson et al., J. Org. Chem. 44, 5002 (1979). Improved synthesis: T. Kametani et al., J. Org. Chem. 53, 1982 (1988). Structure-activity relationship of brassinosteroids: S. Takatsuto et al., Phytochemistry 22, 2437 (1983); interaction with cytokinin: C. Schlagnhaufer et al., Physiol. Plant. 60, 347 (1984); bioassay: K. Wada et al., Agric. Biol. Chem. 48, 719 (1984).
Properties: Crystals from methanol, mp 274-275°. [a]D27 +16°.
Melting point: mp 274-275°
Optical Rotation: [a]D27 +16°
Use: Plant growth regulator.

Other Monographs:
Oil of Bitter OrangeDiginatinNorlevorphanolHerrmann-Beller Catalyst
NorcodeineTetralolHexadecyl 3-Hydroxy-2-naphthoateSulfalene
TopotecanMevalonic AcidAnastrozoleFominoben
UreaformChloroacetic Anhydride3,5-Dibromosalicylaldehydeβ-Bromopropionic Acid
©2006-2023 DrugFuture->Chemical Index Database