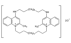
Bisdequalinium Chloride
Structural Formula Vector Image
Title: Bisdequalinium Chloride
CAS Registry Number: 52951-36-7
CAS Name: 6,7,8,9,10,11,12,13,14,15,16,17,24,25,26,27,28,29,30,31,32,33-Docosahydro-35,37-dimethyl-5,34:18,23-diethenodibenzo[b,r][1,5,16,20]tetraazacyclotriacontine-23,34-diium dichloride
Additional Names: N1,N1¢-decamethylene-N4,N4¢-decamethylenebis[4-aminoquinaldinium chloride]; 1,1¢-decamethylene-4,4¢-(1,10-decamethylenediimino)bis[quinaldinium chloride]
Trademarks: Salvizol
Molecular Formula: C40H58Cl2N4
Molecular Weight: 665.82
Percent Composition: C 72.16%, H 8.78%, Cl 10.65%, N 8.41%
Literature References: Prepn: Stark, GB 895090 (1960).
Therap-Cat: Antiseptic, disinfectant.
Keywords: Antiseptic/Disinfectant; Quaternary Ammonium Compounds.

Other Monographs:
Cetyl PalmitateVerbascose2,4,6-Tripyridyl-s-triazineTetrahydrofurfuryl Alcohol
Hexadecyl 3-Hydroxy-2-naphthoateStillingiaCalcium 3-Aurothio-2-propanol-1-sulfonateP-Glycoprotein
RhamnoseYttriumTitanium DioxideSodium Aluminate
NadroparinSilicon TetraacetateHydroxychloroquineXanthophyll
©2006-2023 DrugFuture->Chemical Index Database