Bialamicol
Structural Formula Vector Image
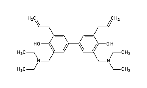
Title: Bialamicol
CAS Registry Number: 493-75-4
CAS Name: 3,3¢-Bis[(diethylamino)methyl]-5,5¢-di-2-propenyl-[1,1¢-biphenyl]-4,4¢-diol
Additional Names: 5,5¢-diallyl-a,-bis(diethylamino)-m,m¢-bitolyl-4,4¢-diol; 6,6¢-diallyl-a,-bis(diethylamino)-4,4¢-bi-o-cresol; biallylamicol
Manufacturers' Codes: SN-6771; PAA-701
Trademarks: Camoform (Parke-Davis)
Molecular Formula: C28H40N2O2
Molecular Weight: 436.63
Percent Composition: C 77.02%, H 9.23%, N 6.42%, O 7.33%
Literature References: Prepd by treating 2,2¢-diallyl-p,p¢-biphenol with diethylamine and formaldehyde: Burckhalter et al., J. Am. Chem. Soc. 68, 1894 (1946); Rawlins et al., US 2459338 (1949 to Parke, Davis).
 
Derivative Type: Dihydrochloride
CAS Registry Number: 3624-96-2
Molecular Formula: C28H40N2O2.2HCl
Molecular Weight: 509.55
Percent Composition: C 66.00%, H 8.31%, N 5.50%, O 6.28%, Cl 13.92%
Properties: Minute crystals, mp 209-210°. Sol in water.
Melting point: mp 209-210°
 
Therap-Cat: Antiamebic.
Keywords: Antiamebic.
 
 
Status: This monograph has been retired and is no longer subject to revision or update.

Other Monographs:
Cuprous AcetateFerric PyrophosphatePrednimustineCarbon Tetrafluoride
PBNFerric and Ammonium Acetate SolutionMethyl Nitratep-Bromoaniline
GrindeliaMetergolineCyclopropyl Methyl EtherCarpronium Chloride
RifapentineButoconazoleTrichloroethyleneManganese Carbonyl
©2006-2023 DrugFuture->Chemical Index Database