Benzopurpurine 4B
Structural Formula Vector Image
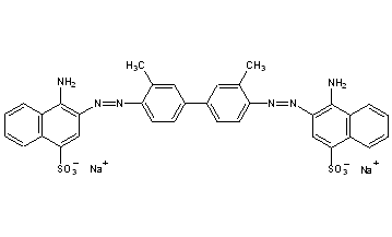
Title: Benzopurpurine 4B
CAS Registry Number: 992-59-6
CAS Name: 3,3¢-[(3,3¢-Dimethyl[1,1¢-biphenyl]-4,4¢-diyl)bis(azo)]bis[4-amino-1-naphthalenesulfonic acid] disodium salt
Additional Names: disodium o-tolidinediazobis(1-naphthylamine-4-sulfonate); C.I. Direct Red 2; C.I. 23500; azamin 4B; eclipse red; fast scarlet
Trademarks: Paper Red 4B (Crompton & Knowles); Sultan Red 4B; Cotton Red 4B
Molecular Formula: C34H26N6Na2O6S2
Molecular Weight: 724.72
Percent Composition: C 56.35%, H 3.62%, N 11.60%, Na 6.34%, O 13.25%, S 8.85%
Literature References: Prepn from diazotized o-tolidine and sodium 4-amino-1-naphthalenesulfonate: DE 35615 (1885 to A. G. für Anilinfabrikation Berlin), Frdl. 1, 473; F. J. Welcher, Organic Analytical Reagents vol. 4 (Van Nostrand Co., New York, 1948) pp 338-339; Colour Index vol. 4 (3rd ed., 1971) p 4189. See also: H. J. Conn's Biological Stains, R. D. Lillie, Ed. (Williams & Wilkins, Baltimore, 9th ed., 1977) p 154.
Properties: Brown powder. Soluble in water, sodium hydroxide, sulfuric acid, ethanol, acetone, Cellosolve. Practically insol in other organic solvents.
Use: For dyeing primarily cotton and viscose rayon: Colour Index vol. 2 (3rd ed., 1971) p 2101. As an analytical reagent in detection of Al, Mg, Hg, Ag, U; as a biological stain; as pH indicator, violet 1.2 to red 4.0.

Other Monographs:
DimetacrineOxyfluorfenResibufogeninδ -Aminolevulinic Acid
Allopregnane-3β,11β,17α,21-tetrol-20-one1,1-Dichloro-2,2-bis(p-chlorophenyl)ethaneTrenboloneChlorothricin
Ammonium PerchlorateMidazolamPhloretinAzinphos-methyl
ZygadenineSoda LimeGinsengPentostatin
©2006-2023 DrugFuture->Chemical Index Database