Benzo Azurine G
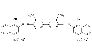
Structural Formula Vector Image
Title: Benzo Azurine G
CAS Registry Number: 2429-71-2
CAS Name: 3,3¢-[(3,3¢-Dimethoxy[1,1¢-biphenyl]-4,4¢-diyl)bis(azo)]bis[4-hydroxy-1-naphthalenesulfonic acid] disodium salt
Additional Names: disodium o-dianisidinediazobis(1-naphthol-4-sulfonate); C.I. Direct Blue 8; C.I. 24140
Molecular Formula: C34H24N4Na2O10S2
Molecular Weight: 758.68
Percent Composition: C 53.83%, H 3.19%, N 7.38%, Na 6.06%, O 21.09%, S 8.45%
Literature References: Prepared from diazotized o-dianisidine and sodium 4-hydroxy-1-naphthalenesulfonate: F. J. Welcher, Organic Analytical Reagents vol. 4 (D. Van Nostrand Co., New York, 1948) pp 337-338. See also Colour Index vol. 4 (3rd ed., 1971) p 4202.
Properties: Bluish-black powder. Sol in water, aq sodium hydroxide (red soln), sulfuric acid (blue soln), Cellosolve; very slightly sol in ethanol. Practically insol in other organic solvents.
Use: As a dye: Colour Index vol. 2 (3rd ed., 1971) p 2223. As analytical reagent in detection of Mg.

Other Monographs:
Vanadium TrioxideDiflucortoloneNifenalolα-Phenylbutyramide
TuberactinomycinThorium IodideInterleukin-102-Naphthalenesulfonic Acid
PropylureMethyltrienoloneBryoniaCarbubarb
Erythrityl Tetranitrate4-(5-Isopropenyl-2-methyl-1-cyclopenten-1-yl)-2-butanoneMinaprineTacalcitol
©2006-2023 DrugFuture->Chemical Index Database