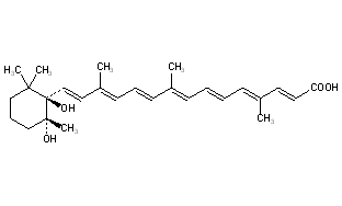
Azafrin
Structural Formula Vector Image
Title: Azafrin
CAS Registry Number: 507-61-9
CAS Name: (5R,6R)-5,6-Dihydro-5,6-dihydroxy-10¢-apo-b,y-carotenoic acid
Additional Names: escobedin
Molecular Formula: C27H38O4
Molecular Weight: 426.59
Percent Composition: C 76.02%, H 8.98%, O 15.00%
Literature References: Carotenoid-carboxylic acid from roots of the South American plant "Azafranillo," Escobedia scabrifolia Ruiz & Pav., and Escobedia laevis Cham. & Schlecht., Scrophulariaceae. Isoln: R. Kuhn et al., Ber. 64, 333 (1931); ibid. 65, 1873 (1932). Structure: R. Kuhn, A. Deutsch, ibid. 66, 883 (1933); R. Kuhn, H. Brockmann, ibid. 67, 885 (1934); Ann. 516, 104 (1935). Absolute configuration (5R:6R): W. Eschenmoser, C. H. Eugster, Helv. Chim. Acta 58, 1722 (1975).
Properties: Orange-colored prisms from toluene, mp 213°. [a]206438 -75° (c = 0.28 in alcohol). Absorption max (chloroform): 458, 428 nm. Practically insol in water. Sol in dil NaOH or Na2CO3 solns, in chloroform, alc, acetic acid and benzene; sparingly sol in ether.
Melting point: mp 213°
Optical Rotation: [a]206438 -75° (c = 0.28 in alcohol)
Absorption maximum: Absorption max (chloroform): 458, 428 nm
 
Derivative Type: Methyl ester
Molecular Formula: C28H40O4
Molecular Weight: 440.61
Percent Composition: C 76.33%, H 9.15%, O 14.52%
Properties: Reddish-yellow leaflets from ether, mp 191°. [a]226438 -32° (chloroform).
Melting point: mp 191°
Optical Rotation: [a]226438 -32° (chloroform)

Other Monographs:
Thiolactic AcidAniseColestilanPolyphosphoric Acid
Guanidinium Aluminum Sulfate HexahydratePhenylthioureaHomovanillic AcidChromyl Fluoride
Bis[methylthio]methaneCarazololDiethylamineHomoserine
NorethynodrelDyclonineLevophacetoperaneFerric Tannate
©2006-2023 DrugFuture->Chemical Index Database