Anazolene Sodium
Structural Formula Vector Image
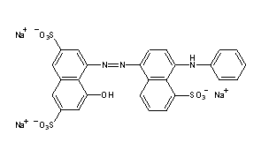
Title: Anazolene Sodium
CAS Registry Number: 3861-73-2
CAS Name: 4-Hydroxy-5-[[4-(phenylamino)-5-sulfo-1-naphthalenyl]azo]-2,7-naphthalenedisulfonic acid trisodium salt
Additional Names: 4¢-anilino-8-hydroxy-1,1¢-azonaphthalene-3,5¢,6-trisulfonic acid trisodium salt; trisodium 4¢-anilino-8-hydroxy-1,1¢-azonaphthalene-3,6,5¢-trisulfonate; 1-naphthol-3,6-disulfonic acid-8-azo-4¢-[N-phenyl-1¢-naphthylamine]-8¢-sulfonic acid trisodium salt; C.I. Acid Blue 92; C.I. 13390; Sulfone Acid Blue R
Trademarks: Coomassie Blue RL (BASF)
Molecular Formula: C26H16N3Na3O10S3
Molecular Weight: 695.58
Percent Composition: C 44.89%, H 2.32%, N 6.04%, Na 9.92%, O 23.00%, S 13.83%
Literature References: Prepn: Ulrich, US 611664 (1897 to Bayer); DE 108546 (1899 to Farbwerke Mülheim); Frdl. 5, 497; Beilstein 16, EII, 226; Colour Index vol. 4 (3rd ed., 1971) p 4053. Properties and biological behavior: S. H. Taylor, J. M. Thorp, Br. Heart J. 21, 492 (1959). Clinical applications: S. H. Taylor, J. P. Shillingford, ibid. 497; I. S. Menzies, J. Clin. Pathol. 19, 179 (1966).
Properties: Reddish-black powder. Soluble in water, acetone, Cellosolve, giving a reddish-blue soln. Slightly sol in alc. Absorption max (water): 565-570 nm; in acetone 585 nm; in human plasma 580-590 nm (E1%1cm about 600). Aq solns are stable and are not affected by light. Solns up to 10% do not stain the skin appreciably. LD50 i.v. in mice: 450 mg/kg (Taylor, Thorp).
Absorption maximum: Absorption max (water): 565-570 nm; in acetone 585 nm; in human plasma 580-590 nm (E1%1cm about 600)
Toxicity data: LD50 i.v. in mice: 450 mg/kg (Taylor, Thorp)
Therap-Cat: Diagnostic aid (cardiac output, blood volume determination).
Keywords: Diagnostic Aid.

Other Monographs:
α-TocopherolAncymidolPotassium StannosulfateDenopterin
Ammonium Cerous SulfateAtractylosideOsajinAcibenzolar-S-methyl
Ammonium Sodium PhosphateKinopreneDimethomorphDydrogesterone
Atrial Natriuretic PeptideSodium Lactate2-Amino-2-methyl-1-propanolThomas Phosphate
©2006-2023 DrugFuture->Chemical Index Database