Amidosulfuron
Structural Formula Vector Image
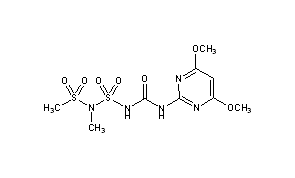
Title: Amidosulfuron
CAS Registry Number: 120923-37-7
CAS Name: N-(4,6-Dimethoxy-2-pyrimidinyl)-3-methyl-2,4-dithia-3,5-diazahexan-6-amide 2,2,4,4-tetraoxide
Additional Names: 3-(4,6-dimethoxypyrimidin-2-yl-)-1-(N-methyl-N-methyl-sulfonyl)urea
Manufacturers' Codes: HOE-75032
Trademarks: Gratil (Aventis); Eagle (Aventis)
Molecular Formula: C9H15N5O7S2
Molecular Weight: 369.37
Percent Composition: C 29.27%, H 4.09%, N 18.96%, O 30.32%, S 17.36%
Literature References: Post-emergence herbicide for broad-leaf weed control in cereals. Prepn: L. Willms et al., EP 131258; eidem, US 4601747 (1985, 1986 both to Hoechst). Degradation in soil: G. Fent et al., Sci. Total Environ. 132, 201 (1993); K. L. Sagan et al., J. Agric. Food Chem. 46, 1205 (1998). Field trial in cereal crops: D. S. M. D'Souza et al., Brighton Crop Prot. Conf. - Weeds 1993, 567; for control of wild mustard in canola: K. J. Kirkland Weed Technol. 9, 541 (1995).
Properties: mp 160-163°. Soly in water (mg/l): 3.3 at pH 3, 9.0 at pH 7, 13500 at pH 10. Vapor pressure at 20°: 1.3 ´ 10-5 Pa.
Melting point: mp 160-163°
Use: Herbicide.

Other Monographs:
FibrinDihydroxyaluminum AcetylsalicylateLead Subacetatep-Phenolsulfonic Acid
3-Nitrosalicylic Acid1-NaphthalenethiolSilver CitratePhthalylsulfathiazole
Lead MonoxideEdestinHydrazine HydrateAjulemic Acid
CinmethylinSodium CobaltinitritePotassium Hexachloroplatinate(IV)Indenolol
©2006-2023 DrugFuture->Chemical Index Database