Almitrine
Structural Formula Vector Image
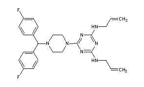
Title: Almitrine
CAS Registry Number: 27469-53-0
CAS Name: 6-[4-[Bis(4-fluorophenyl)methyl]-1-piperazinyl]-N,N¢-di-2-propenyl-1,3,5-triazine-2,4-diamine
Additional Names: 2,4-bis[allylamino]-6-[4-[bis(p-fluorophenyl)methyl]-1-piperazinyl]-s-triazine
Manufacturers' Codes: S-2620
Molecular Formula: C26H29F2N7
Molecular Weight: 477.55
Percent Composition: C 65.39%, H 6.12%, F 7.96%, N 20.53%
Literature References: Prepn: G. Regnier, R. Canevari, DE 1947332; eidem, US 3647794 (1970, 1972 both to Sci. Union et Cie.-Soc. Franç. Recher. Méd.). Physical properties and toxicity: G. Regnier et al., Experientia 28, 814 (1972). Pharmacology: M. Laubie, F. Diot, J. Pharmacol. 3, 363 (1972); M. Laubie, H. Schmitt, Eur. J. Pharmacol. 61, 125 (1980). Evaluation of combination with raubasine, q.v., in cerebral ischemia in rats: M. G. Borzeix, J. Cahn, Arzneim.-Forsch. 37, 491 (1987). Clinical effect on hypoxemia in chronic obstructive pulmonary disease: R. C. Bell et al., Ann. Intern. Med. 105, 342 (1986); B. Gothe et al., Am. J. Med. 84, 436 (1988).
Properties: Crystals, mp 181°.
Melting point: mp 181°
 
Derivative Type: Dimethanesulfonate
CAS Registry Number: 29608-49-9
Additional Names: Almitrine dimesylate
Trademarks: Vectarion (Servier)
Molecular Formula: C26H29F2N7.2CH3SO3H
Molecular Weight: 669.76
Percent Composition: C 50.21%, H 5.57%, F 5.67%, N 14.64%, S 9.58%, O 14.33%
Properties: mp 243° (dec). uv max (ethanol): 227, 246 nm (log e 4.52, 4.53). LD50 in mice: 210 mg/kg i.v., 390 mg/kg i.p., >2 g/kg orally (Regnier).
Melting point: mp 243° (dec)
Absorption maximum: uv max (ethanol): 227, 246 nm (log e 4.52, 4.53)
Toxicity data: LD50 in mice: 210 mg/kg i.v., 390 mg/kg i.p., >2 g/kg orally (Regnier)
 
Therap-Cat: Respiratory stimulant.
Keywords: Respiratory Stimulant.

Other Monographs:
Procainamide HydrochlorideFormestaneIsopentyl AlcoholCobaltous Nitrate
Cinchomeronic Acid1,4-Diphenyl-1,3-butadieneLithium Dichromate(VI)Flavone
Oxapropanium IodideModacrylic FibersCefmenoximeAgroclavine
BarthrinAcetaldehyde Sodium BisulfiteHendrickson's ReagentCefadroxil
©2006-2023 DrugFuture->Chemical Index Database