ACV
Structural Formula Vector Image
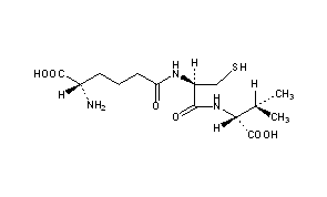
Title: ACV
CAS Registry Number: 32467-88-2
CAS Name: N-[(5S)-5-Amino-5-carboxy-1-oxopentyl]-L-cysteinyl-D-valine
Additional Names: N-[N-(L-5-amino-5-carboxyvaleryl)-L-cysteinyl]-D-valine; d-(L-a-aminoadipyl)-L-cysteinyl-D-valine
Molecular Formula: C14H25N3O6S
Molecular Weight: 363.43
Percent Composition: C 46.27%, H 6.93%, N 11.56%, O 26.41%, S 8.82%
Literature References: Biosynthetic precursor of penicillins and cephalosporins. Isoln from mycelial extracts of Penicillium chrysogenum: H. R. V. Arnstein et al., Biochem. J. 76, 353 (1960); structure determn of tripeptide: H. R. V. Arnstein, D. Morris, ibid. 357. Isoln from Cephalosporium sp., identification and optical configuration of constituent amino acids: P. B. Loder, E. P. Abraham, ibid. 123, 471 (1971). Configuration of peptide from P. chrysogenum, identity with peptide from Cephalosporium: P. Adriaens et al., Antimicrob. Agents Chemother. 8, 638 (1975). Synthesis of labelled tripeptide and role in penicillin biosynthesis: P. A. Fawcett et al., Biochem. J. 157, 651 (1976). Synthesis of ACV as the disulfide: S. Wolfe, M. G. Jokinen, Can. J. Chem. 57, 1388 (1979). Cellfree conversion of ACV directly into isopenicillin N: J. O'Sullivan et al., Biochem. J. 184, 421 (1979); T. Konomi et al., ibid. 427. Confirmation by 13C NMR: J. E. Baldwin et al., Chem. Commun. 1980, 1271. Reviews: D. J. Aberhart, Tetrahedron 33, 1545-1559 (1977); E. P. Abraham, Jpn. J. Antibiot. 30, Suppl., S1-S26 (1977); S. Wolfe et al., Science 226, 1386-1392 (1984).

Other Monographs:
Lysalbinic AcidSodium Polystyrene SulfonateHeptachlor5,6-Dimethylbenzimidazole
1,2,3-TrichlorobenzeneTrimethylene OxideTeaStibophen
FranciumSatigrel2-Naphthyl SalicylateOxyphencyclimine
β-BenzalbutyramideCinerinsN,N,N',N'-TetraethylphthalamidePentabromoacetone
©2006-2023 DrugFuture->Chemical Index Database