- British Pharmacopoeia Volume I & II
- Monographs: Medicinal and Pharmaceutical Substances
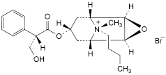
Hyoscine Butylbromide |
![]() |
(Ph. Eur. monograph 0737)

C21H30BrNO4 440.4 149-64-4
Anticholinergic.
Hyoscine Butylbromide Injection
Ph Eur
(1R,2R,4S,5S,7s,9r)-9-Butyl-7-[[(2S)-3-hydroxy-2-phenylpropanoyl]oxy]-9-methyl-3-oxa-9-azoniatricyclo[3.3.1.02,4]nonane bromide.
98.0 per cent to 101.0 per cent (dried substance).
White or almost white, crystalline powder.
Freely soluble in water and in methylene chloride, sparingly soluble in anhydrous ethanol.
First identification A, C, F.
Second identification A, B, D, E, F.
A. Specific optical rotation (see Tests).
B. Melting point (2.2.14): 139 °C to 141 °C.
C. Infrared absorption spectrophotometry (2.2.24).
Comparison hyoscine butylbromide CRS.
D. To about 1 mg add 0.2 mL of nitric acid R and evaporate to dryness on a water-bath. Dissolve the residue in 2 mL of acetone R and add 0.1 mL of a 30 g/L solution of potassium hydroxide R in methanol R. A violet colour develops.
E. To 5 mL of solution S (see Tests) add 2 mL of dilute sodium hydroxide solution R. No precipitate is formed.
F. It gives reaction (a) of bromides (2.3.1).
Dissolve 1.25 g in carbon dioxide-free water R and dilute to 25.0 mL with the same solvent.
Solution S is clear (2.2.1) and colourless (2.2.2, Method II).
5.5 to 6.5 for solution S.
- 18 to - 20 (dried substance), determined on solution S.
Liquid chromatography (2.2.29).
Test solution Dissolve 50.0 mg of the substance to be examined in the mobile phase and dilute to 10.0 mL with the mobile phase.
Reference solution (a) Dilute 1.0 mL of the test solution to 50.0 mL with the mobile phase. Dilute 5.0 mL of this solution to 50.0 mL with the mobile phase.
Reference solution (b) Dilute 10.0 mL of reference solution (a) to 20.0 mL with the mobile phase.
Reference solution (c) Dissolve 5.0 mg of hyoscine butylbromide impurity E CRS in the mobile phase, add 1.0 mL of the test solution and dilute to 10.0 mL with the mobile phase. Dilute 5.0 mL of this solution to 50.0 mL with the mobile phase.
- — size: l = 0.125 m, Ø = 4.0 mm;
- — stationary phase: octylsilyl silica gel for chromatography R (4 µm);
- — temperature: 25 ± 1 °C.
Mobile phase Dissolve 5.8 g of sodium dodecyl sulfate R in a mixture of 410 mL of acetonitrile R and 605 mL of a 7.0 g/L solution of potassium dihydrogen phosphate R previously adjusted to pH 3.3 with 0.05 M phosphoric acid.
Flow rate 2.0 mL/min.
Detection Spectrophotometer at 210 nm.
Injection 10 µL.
Run time 3.5 times the retention time of butylhyoscine.
Relative retention With reference to butylhyoscine (retention time = about 7.0 min): impurity B = about 0.1; impurity A = about 0.36; impurity C = about 0.40; impurity D = about 0.7; impurity E = about 0.8; impurity F = about 0.9; impurity G = about 3.0.
System suitability Reference solution (c):
- — resolution: minimum 1.5 between the peaks due to impurity E and butylhyoscine;
- — symmetry factor: maximum 2.5 for the peak due to butylhyoscine.
- — correction factors: for the calculation of contents, multiply the peak areas of the following impurities by the corresponding correction factor: impurity B = 0.3; impurity G = 0.6;
- — impurities B, C, D, E, F, G: for each impurity, not more than the area of the principal peak in the chromatogram obtained with reference solution (a) (0.2 per cent);
- — impurity A: not more than the area of the principal peak in the chromatogram obtained with reference solution (b) (0.1 per cent);
- — any other impurity: for each impurity, not more than the area of the principal peak in the chromatogram obtained with reference solution (b) (0.1 per cent);
- — total: not more than twice the area of the principal peak in the chromatogram obtained with reference solution (a) (0.4 per cent); disregard any peak due to the bromide ion which appears close to the solvent peak;
- — disregard limit: 0.5 times the area of the principal peak in the chromatogram obtained with reference solution (b) (0.05 per cent).
Maximum 2.5 per cent, determined on 0.500 g by drying in an oven at 105 °C.
Maximum 0.1 per cent, determined on 0.5 g.
Dissolve 0.400 g in 50 mL of water R. Titrate with 0.1 M silver nitrate, determining the end-point potentiometrically (2.2.20) using a silver indicator electrode and a silver-silver chloride reference electrode.
1 mL of 0.1 M silver nitrate is equivalent to 44.04 mg of C21H30BrNO4.
Specified impurities A, B, C, D, E, F, G.

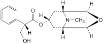
A. (1R,2R,4S,5S,7s)-9-methyl-3-oxa-9-azatricyclo[3.3.1.02,4]non-7-yl (2S)-3-hydroxy-2-phenylpropanoate (hyoscine),

B. (2RS)-3-hydroxy-2-phenylpropanoic acid (dl-tropic acid),

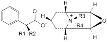
C. R1 = CH2OH, R2 = H, R3 = R4 = CH3: (1R,2R,4S,5S,7s)-7-[[(2S)-3-hydroxy-2-phenylpropanoyl]oxy]-9,9-dimethyl-3-oxa-9-azoniatricyclo[3.3.1.02,4]nonane (methylhyoscine),
D. R1 = CH2OH, R2 = H, R3 = CH3, R4 = CH2-CH2-CH3: (1R,2R,4S,5S,7s,9r)-7-[[(2S)-3-hydroxy-2-phenylpropanoyl]oxy]-9-methyl-9-propyl-3-oxa-9-azoniatricyclo[3.3.1.02,4]nonane (propylhyoscine),
F. R1 = CH2OH, R2 = H, R3 = CH2-CH2-CH2-CH3, R4 = CH3: (1R,2R,4S,5S,7s,9s)-9-butyl-7-[[(2S)-3-hydroxy-2-phenylpropanoyl]oxy]-9-methyl-3-oxa-9-azoniatricyclo[3.3.1.02,4]nonane (pseudo-isomer),
G. R1 + R2 = CH2 , R3 = CH3, R4 = CH2-CH2-CH2-CH3: (1R,2R,4S,5S,7s,9r)-9-butyl-9-methyl-7-[(2-phenylprop-2-enoyl)oxy]-3-oxa-9-azoniatricyclo[3.3.1.02,4]nonane (apo-N-butylhyoscine);

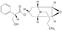
E. (1R,2R,4S,5S,7s)-9-butyl-3-oxa-9-azatricyclo[3.3.1.02,4]nonan-7-yl (2S)-3-hydroxy-2-phenylpropanoate (N-butylhyoscine).
Ph Eur


