- British Pharmacopoeia Volume I & II
- Monographs: Medicinal and Pharmaceutical Substances
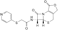
Cefapirin Sodium |
![]() |
(Ph. Eur. monograph 1650)

C17H16N3NaO6S2 445.5 24356-60-3
Cephalosporin antibacterial.
Ph Eur
Sodium (6R,7R)-3-[(acetyloxy)methyl]-8-oxo-7-[[[(pyridin-4-yl)sulfanyl]acetyl]amino]-5-thia-1-azabicyclo[4.2.0]oct-2-ene-2-carboxylate.
Semi-synthetic product derived from a fermentation product.
96.0 per cent to 102.0 per cent (anhydrous substance).
White or pale yellow powder.
Soluble in water, practically insoluble in methylene chloride.
A. Infrared absorption spectrophotometry (2.2.24).
Comparison cefapirin sodium CRS.
B. It gives reaction (a) of sodium (2.3.1).
Dissolve 2.0 g in water R and dilute to 10.0 mL with the same solvent. The solution is clear (2.2.1). Dilute 5.0 mL to 10.0 mL with water R. The absorbance (2.2.25) of this solution at 450 nm is not greater than 0.25.
6.5 to 8.5.
Dissolve 0.100 g in carbon dioxide-free water R and dilute to 10.0 mL with the same solvent.
+ 150 to + 165 (anhydrous substance).
Dissolve 0.500 g in water R and dilute to 25.0 mL with the same solvent.
Liquid chromatography (2.2.29). Prepare the solutions immediately before use.
Test solution Dissolve 42 mg of the substance to be examined in the mobile phase and dilute to 200.0 mL with the mobile phase.
Reference solution (a) Dissolve 42 mg of cefapirin sodium CRS in the mobile phase and dilute to 200.0 mL with the mobile phase.
Reference solution (b) Dilute 1.0 mL of the test solution to 100.0 mL with the mobile phase.
Reference solution (c) Dilute 1.0 mL of reference solution (b) to 20.0 mL with the mobile phase.
Reference solution (d) Mix 1 mL of the test solution, 8 mL of the mobile phase and 1 mL of hydrochloric acid R1. Heat at 60 °C for 10 min.
- — size: l = 0.30 m, Ø = 4 mm,
- — stationary phase: octadecylsilyl silica gel for chromatography R (10 µm).
Mobile phase Mix 80 mL of dimethylformamide R, 4.0 mL of glacial acetic acid R and 20 mL of a 4.5 per cent (m/m) solution of potassium hydroxide R. Dilute to 2 L with water R.
Flow rate 2.0 mL/min.
Detection Spectrophotometer at 254 nm.
Injection 20 µL of the test solution and reference solutions (b), (c) and (d).
Run time Twice the retention time of cefapirin.
Relative retention With reference to cefapirin (retention time = about 13 min): impurity B = about 0.3; impurity C = about 0.5; impurity A = about 0.75.
System suitability Reference solution (d):
- — resolution: minimum 2.0 between the peaks due to cefapirin and impurity A.
- — any impurity: for each impurity, not more than the area of the principal peak in the chromatogram obtained with reference solution (b) (1.0 per cent), and not more than 1 such peak has an area greater than 0.3 times the area of the principal peak in the chromatogram obtained with reference solution (b) (0.3 per cent),
- — total: not more than twice the area of the principal peak in the chromatogram obtained with reference solution (b) (2.0 per cent),
- — disregard limit: area of the principal peak in the chromatogram obtained with reference solution (c) (0.05 per cent).
Maximum 20 ppm.
Maximum 0.5 per cent.
Maximum 2.0 per cent, determined on 0.300 g.
Less than 0.17 IU/mg, if intended for use in the manufacture of parenteral preparations without a further appropriate procedure for the removal of bacterial endotoxins.
Liquid chromatography (2.2.29) as described in the test for related substances with the following modification.
Injection Test solution and reference solution (a).
Calculate the percentage content of C17H16N3NaO6S2.
Protected from light. If the substance is sterile, store in a sterile, tamper-proof container.
Specified impurities A, B, C.

A. (5aR,6R)-6-[[[(pyridin-4-yl)sulfanyl]acetyl]amino]-5a,6-dihydro-3H,7H-azeto[2,1-b]furo[3,4-d][1,3]thiazine-1,7(4H)-dione (deacetylcefapirin lactone),

B. R = OH: (6R,7R)-3-(hydroxymethyl)-8-oxo-7-[[[(pyridin-4-yl)sulfanyl]acetyl]amino]-5-thia-1-azabicyclo[4.2.0]oct-2-ene-2-carboxylic acid (deacetylcefapirin),
C. R = H: (6R,7R)-3-methyl-8-oxo-7-[[[(pyridin-4-yl)sulfanyl]acetyl]amino]-5-thia-1-azabicyclo[4.2.0]oct-2-ene-2-carboxylic acid (deacetoxycefapirin).
Ph Eur
